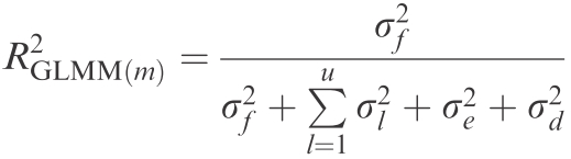
r2_mixed_marginal Previous Next Published March 14, 2016 at 519 × 145 in R^2 for linear mixed effects models